發布日期:2024-07-12 11:39:08 輻照度量學是光學和輻射度量學的一個分支,主要研究輻射能在物體表面上的分布和變化。其核心概念之一是輻射照度(Irradiance),也稱為輻照度,它表示受照面單位面積上接收到的輻射通量,單位是瓦每平方米(W/㎡)。輻射照度是描述物體表面單位時間內單位面積接收輻射能多少的物理量,對于理解輻射能的傳輸、轉換和利用具有重要意義。
輻射測量可以用于測量發光光源,也可以用于測量反射光。例如太陽光譜研究,獲得太陽光譜的能量分布、測量太陽、大氣的輻照能量或者照射到物體上反射的二次輻照。LED光源參數測試與質量檢測等。
光纖光譜儀的輻照度測量原理:
測待測物品:輻照度測量需要一已知輻射能量分布的標準光源,通過經過定標的標準光源以及光纖光譜儀即可測得待測物的光譜輻射能量分布曲線,通過輻射能量分布曲線可進一步計算出輻照度、輻射通量等參數。
測待測光源:利用鑒知技術的光譜儀對光的響應特點模擬出待測光源的輻射能量分布,從而計算輻照度、亮度等參數。
相對輻射測量:樣品的輻射光譜與具有黑體輻射能量分布(歸一件化為1)的標準燈輻射光譜的比值。需將標準燈先行置于光路中,測得其光譜為本次測量的參考光譜,然后再用待測輻射源代替標準燈。只校準峰形,沒有物理量,只有相對強度100%。
絕對輻射測量:標準光源是一個理想灰體,采用已知光譜輸出(單位:uW/cm2/nm)的鹵鎢燈光源來對光譜儀進行絕對輻射定標。絕對輻射定標把光譜儀探測器采集到的光譜還原成實際的光譜分布(光譜的形狀和大小),定標后光譜的強度坐標就不再是一個相對強度,而是實際的輻照強度。修改光譜的形狀和幅度,從而校正儀器的響應函數,可測絕對強度。
一般來說測量系統由光譜儀、光纖、積分球或余弦矯正器、計算機組成,系統測量待測光源前需要使用標準光源定標。
輻照度系統搭建構成:

*需要注意,當系統的配置更改以后,系統被視為一套新的系統,需要重新定標,因此,不要在定標完成以后做光纖插拔行為。
輻照度測量系統通常包括以下幾個部分:
光源發射:使用已知輻照度的標準光源(如鎢燈、氘燈等)發射穩定的光譜。
光纖傳輸:光線通過光纖傳輸到光譜儀的輸入端,光纖作為信號耦合器件,確保光信號的高效傳輸。
光譜儀主體:包括光柵、狹縫、探測器等部件。光柵用于分散光線,狹縫限制入射光范圍,探測器將光信號轉換為電信號。
數據采集與處理系統:負責接收探測器輸出的電信號,進行放大、模數轉換和數據處理,最終得到輻照度值。
光信息采集:余弦校正器:使用余弦輻射探頭進行光采集的優點是系統搭建方便,采集模塊體積小,采集面積廣,性價比高;缺點是對環境要求較高,需全暗環境,且測試精度較積分球測試差,受外界影響波動比較大。積分球:使用積分球搭建測試優勢在于抗干擾,內部暗環境,光照均勻,測試數據準確,誤差小,重復性高,但價格較為昂貴。


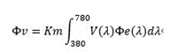
輻射通量與光通量之間的關系:

V(λ): 視見函數,無量綱相對數值。
Km: Km=683lm/w最大光譜效能,單位:流明/瓦(lm/W)。
光度學參數可由測得輻照度量學相關參數換算得到。
輻照度測量特點:
高精度:光纖光譜儀能夠提供高精度的輻照度測量,滿足科研和工業應用的需求。
寬光譜范圍:能夠測量從紫外到紅外的寬光譜范圍內的輻照度。
快速響應:光譜儀能夠快速響應光信號的變化,實現實時測量。
非接觸測量:通過光纖傳輸光信號,實現非接觸式測量,避免對被測物體的干擾。
輻照度測量部分應用領域:
科學研究:為光學、材料科學、生命科學等領域的研究提供基礎數據支持。
工業應用:在光伏、環境監測、材料檢測等行業中發揮重要作用,提高產品質量和生產效率。
能源評估:在太陽能等可再生能源的評估和開發中,輻照度測量是評估資源潛力和系統性能的關鍵指標。
環境保護:通過監測環境中的輻射污染情況,為環境保護和污染治理提供科學依據。